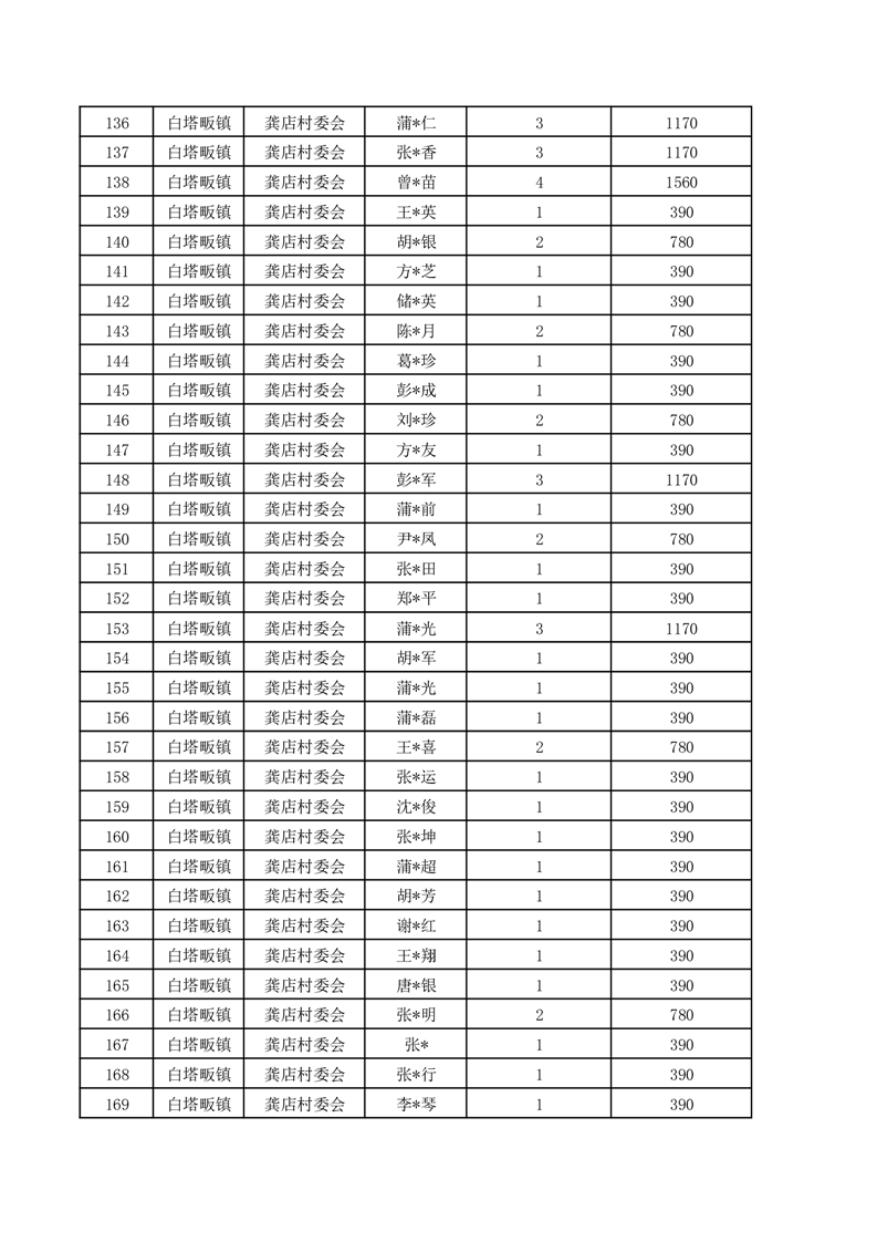
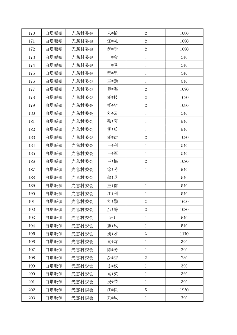
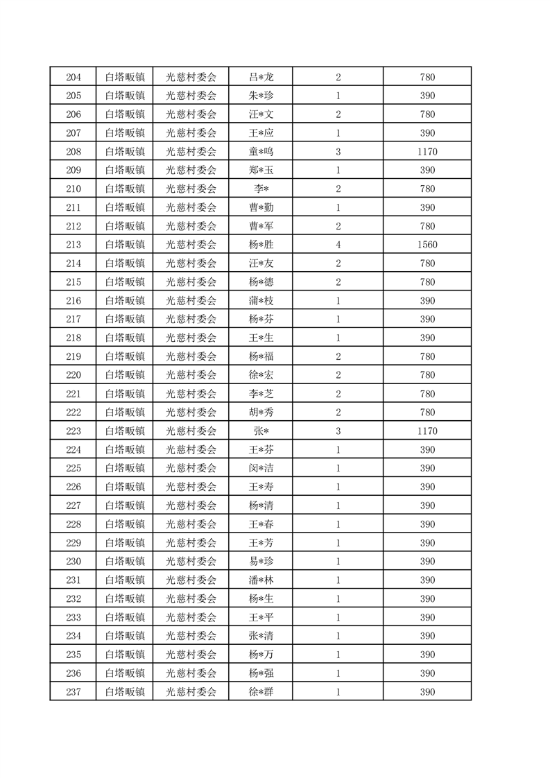
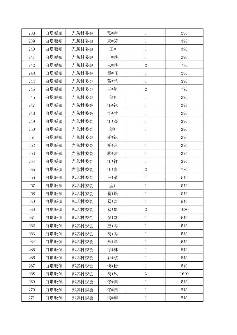
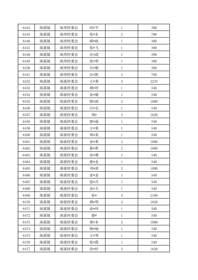
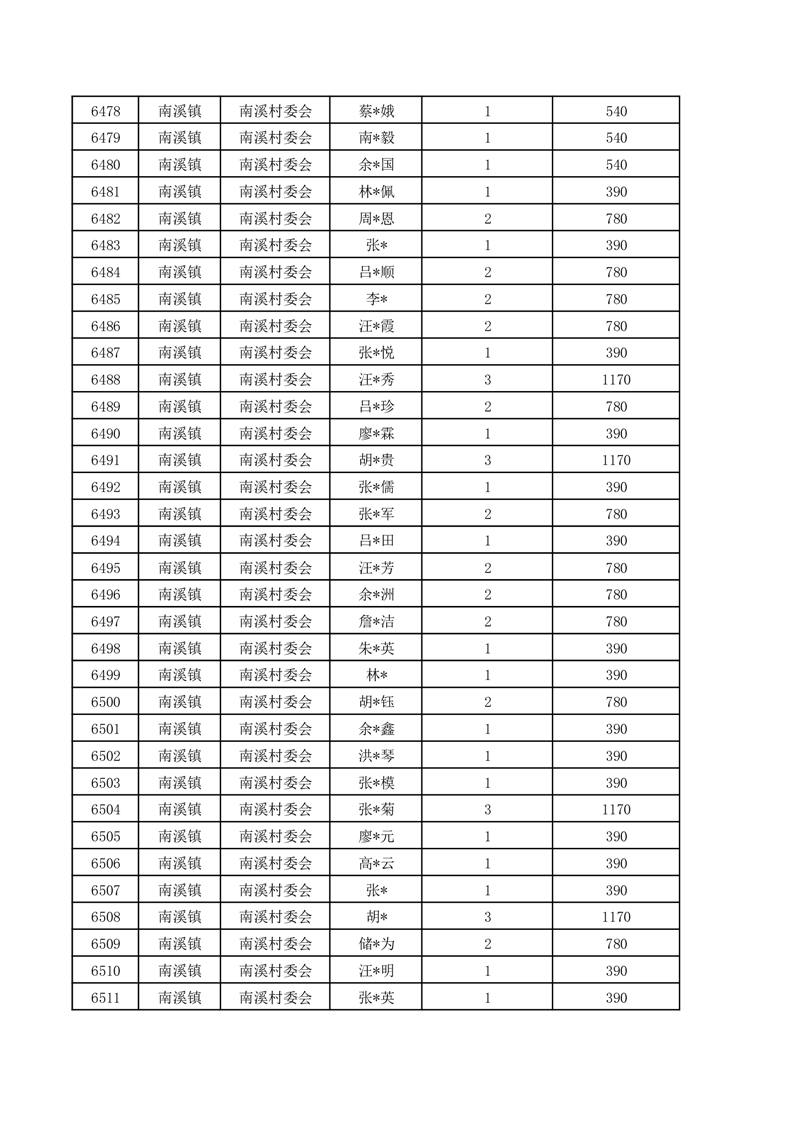
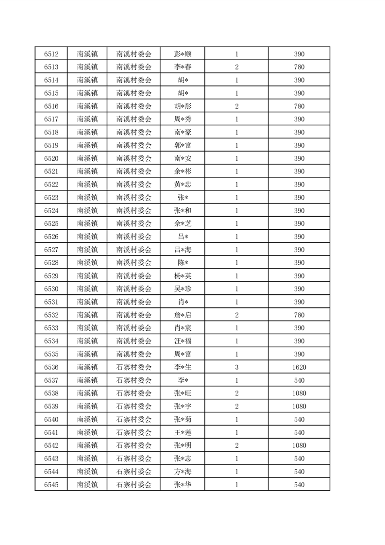
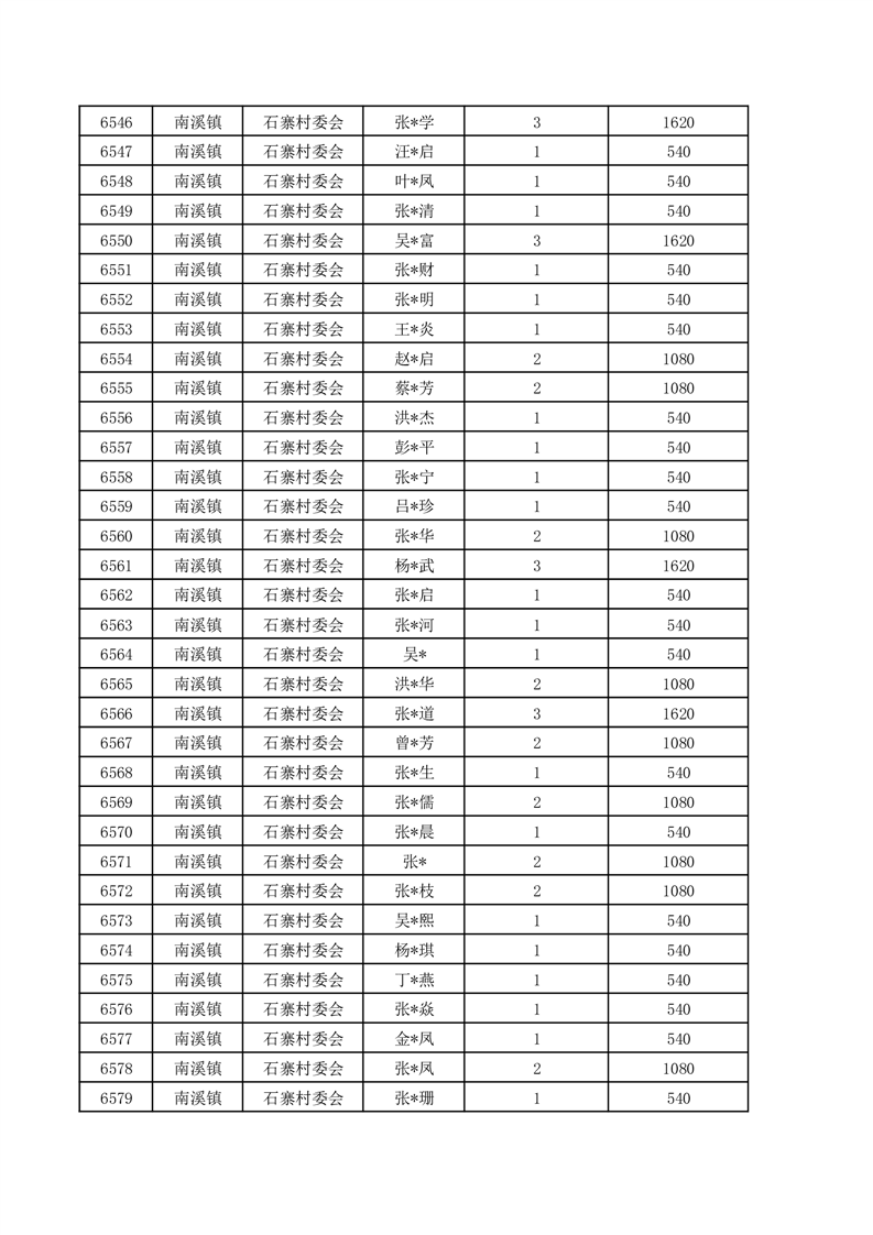
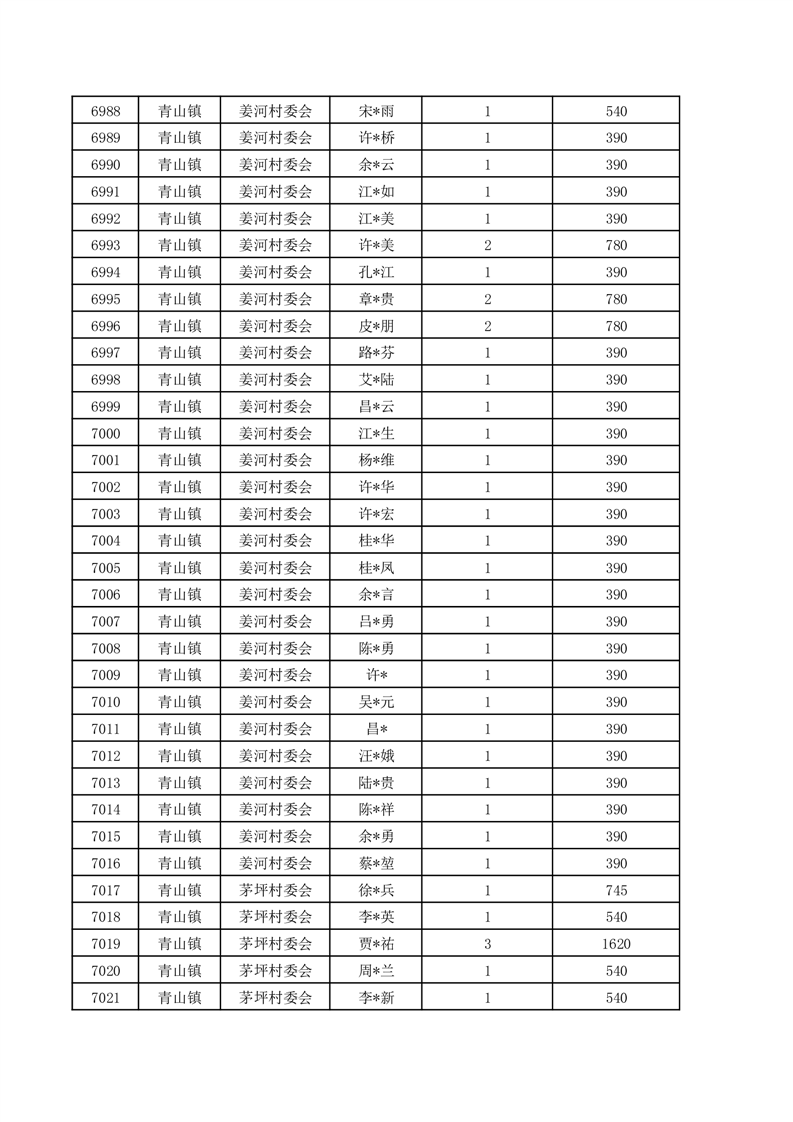
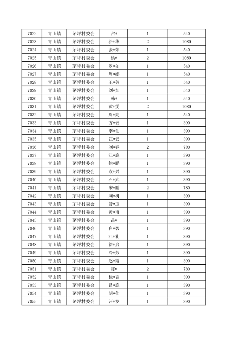
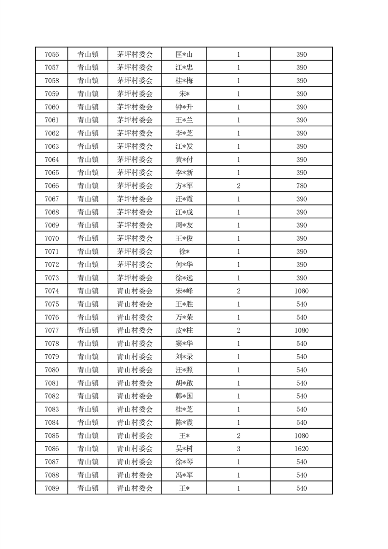
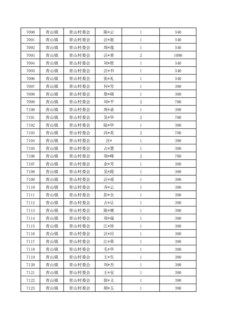
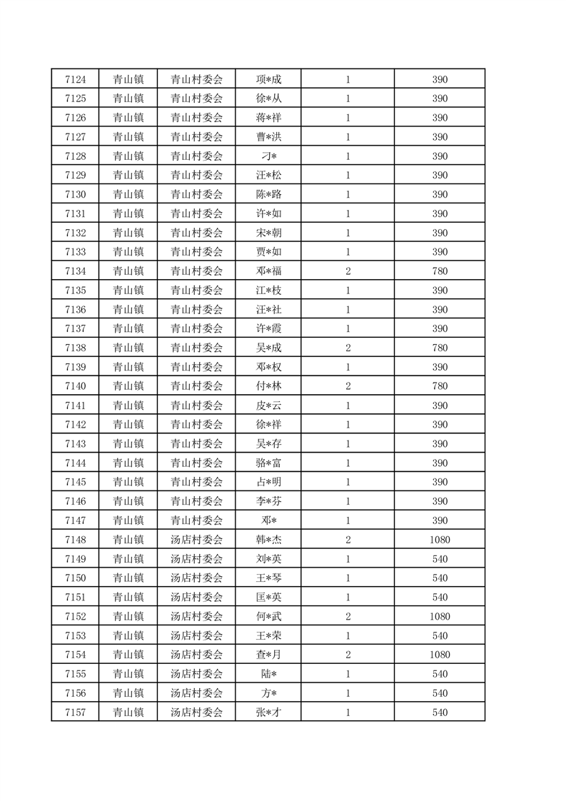
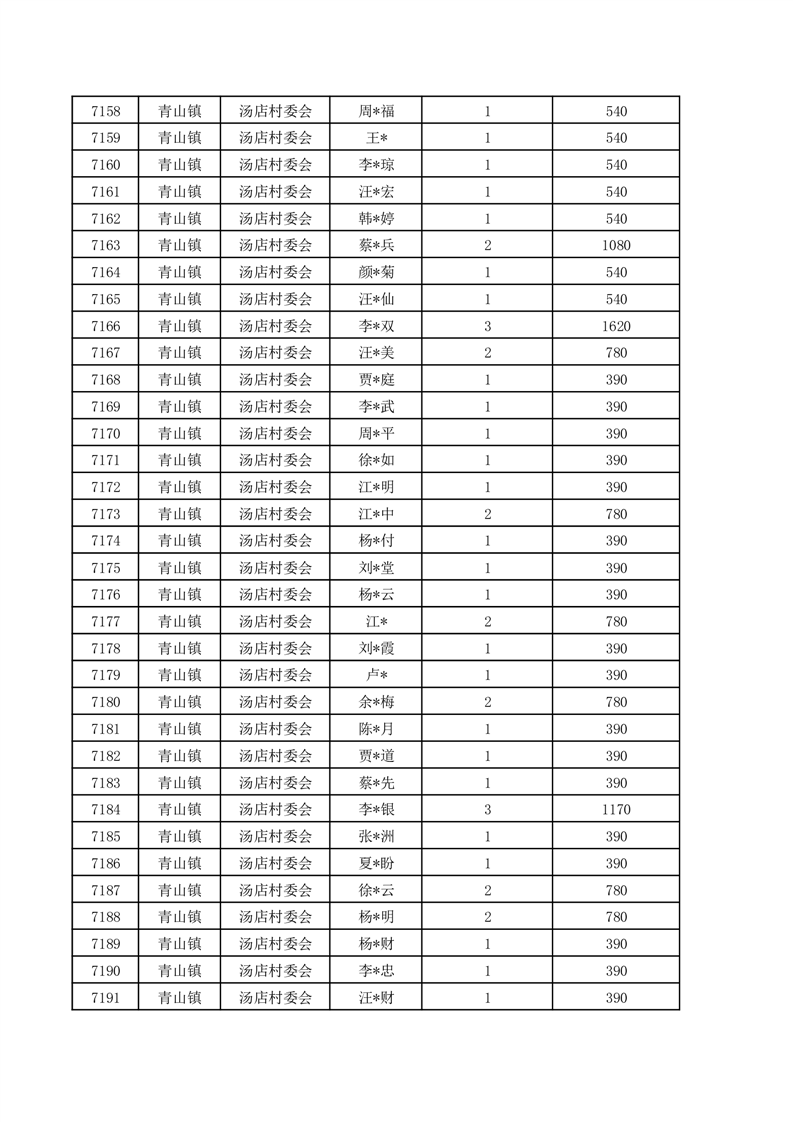
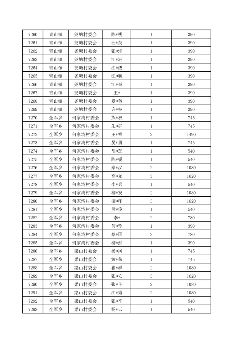
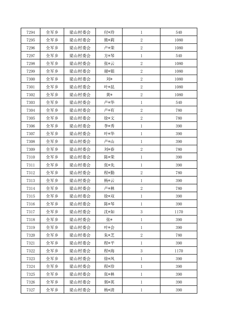
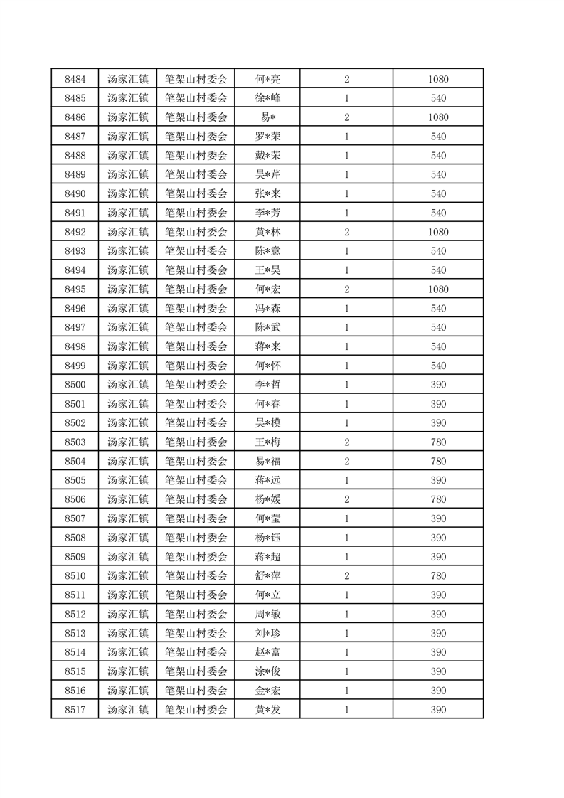
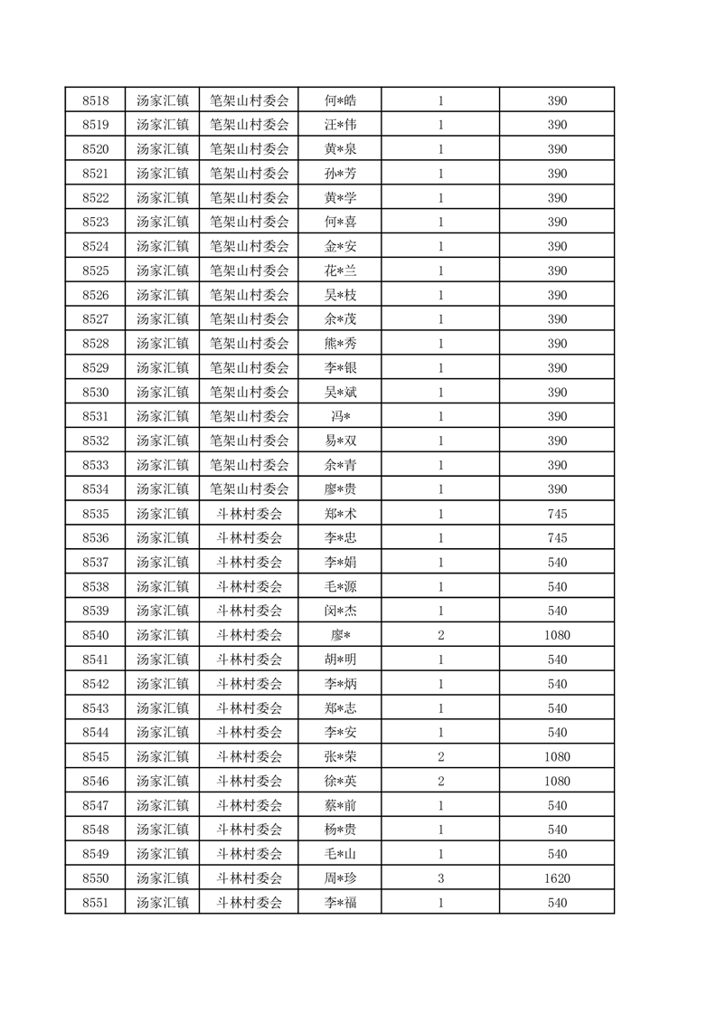
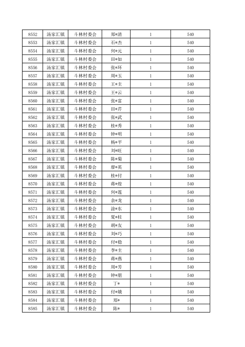
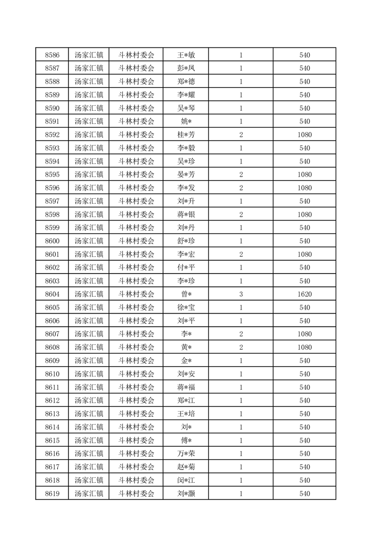
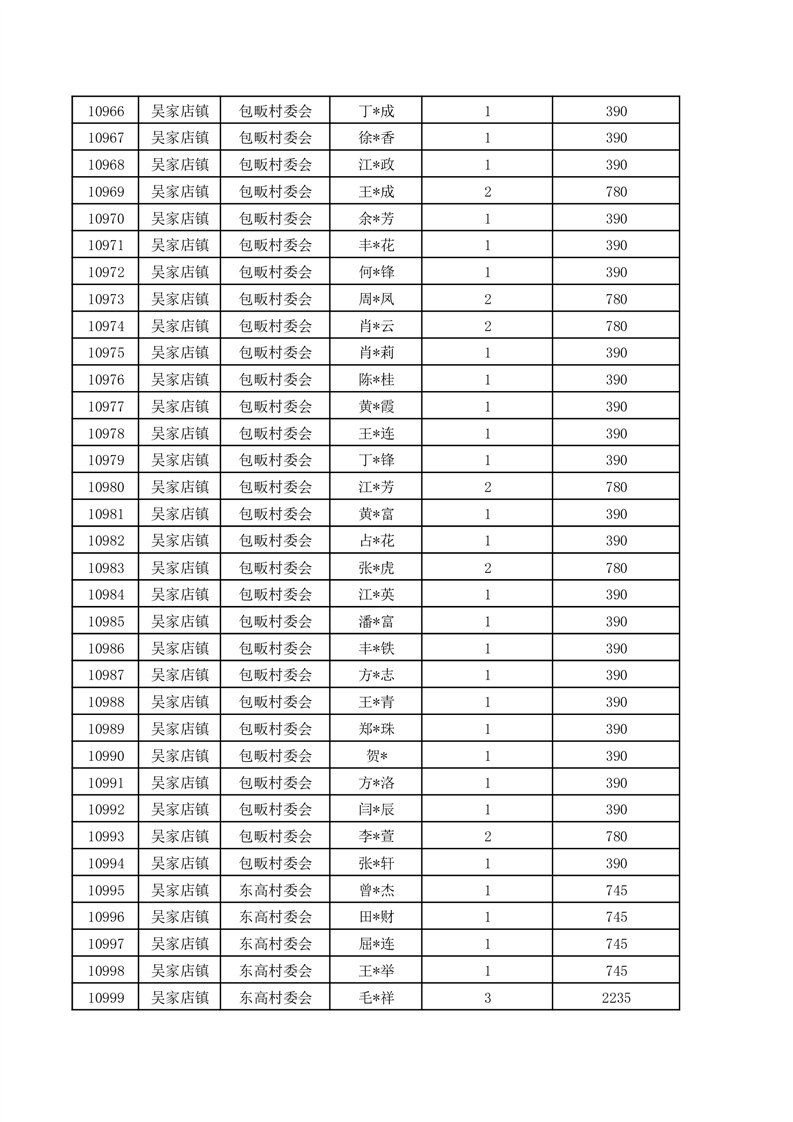
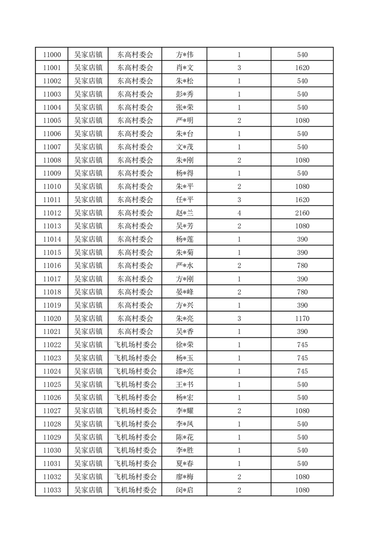
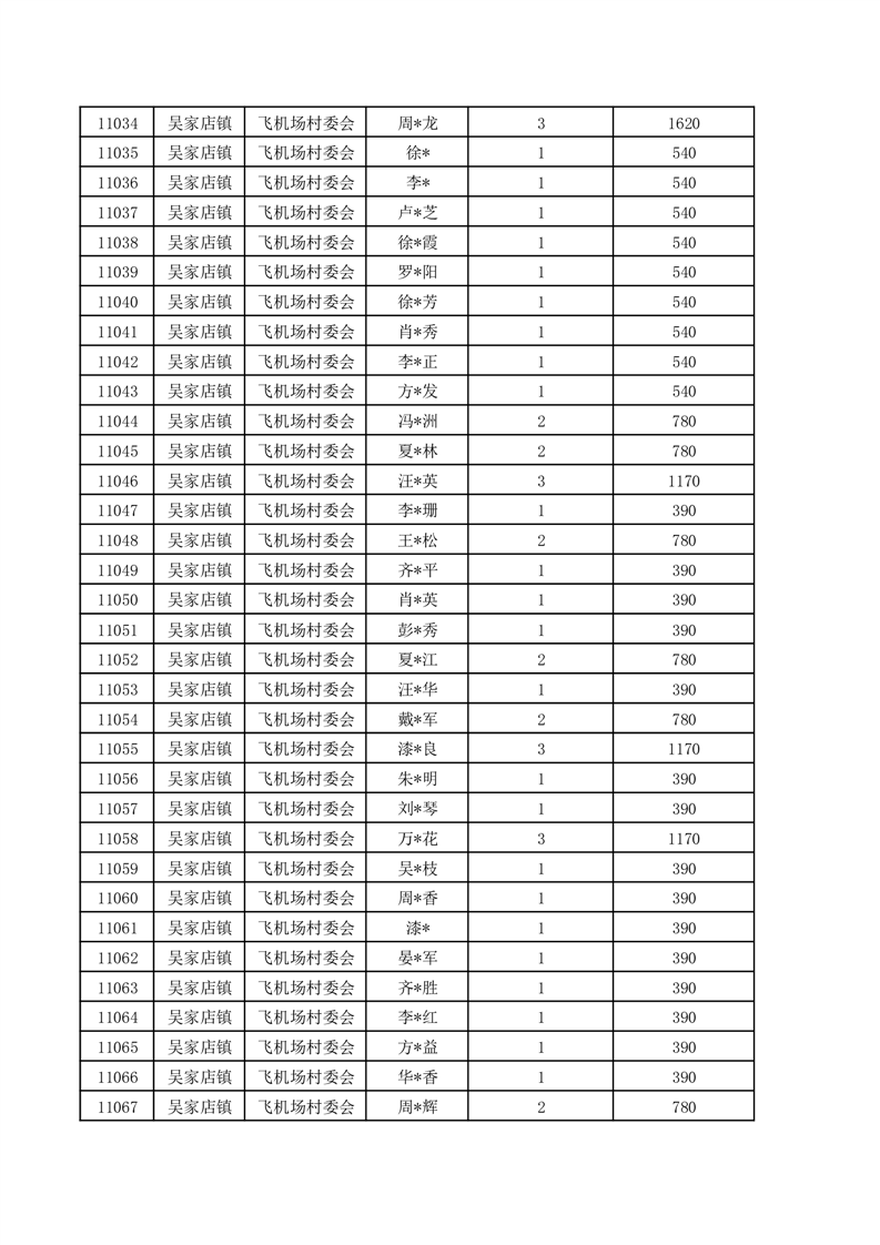
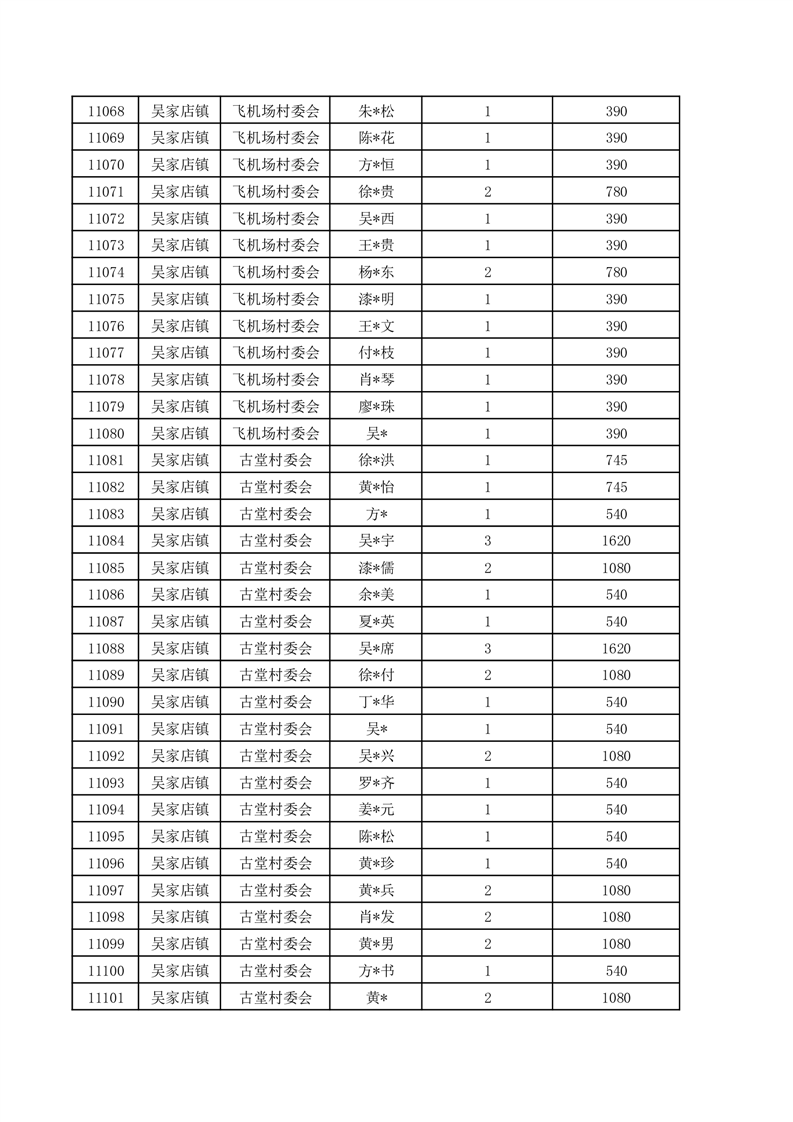
| 索引号: | 113414260032405285/202512-00011 | 信息分类: | 审批信息 |
|---|---|---|---|
| 内容分类: | 综合政务,民政、扶贫、救灾 | 发文日期: | 2025-12-16 |
| 发布机构: | 金寨县 | 生成日期: | 2025-12-16 |
| 生效日期: | 有效 | 废止时间: | 暂无 |
| 文 号: | 关键词: | ||
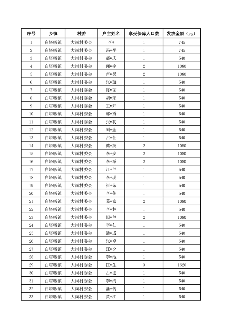
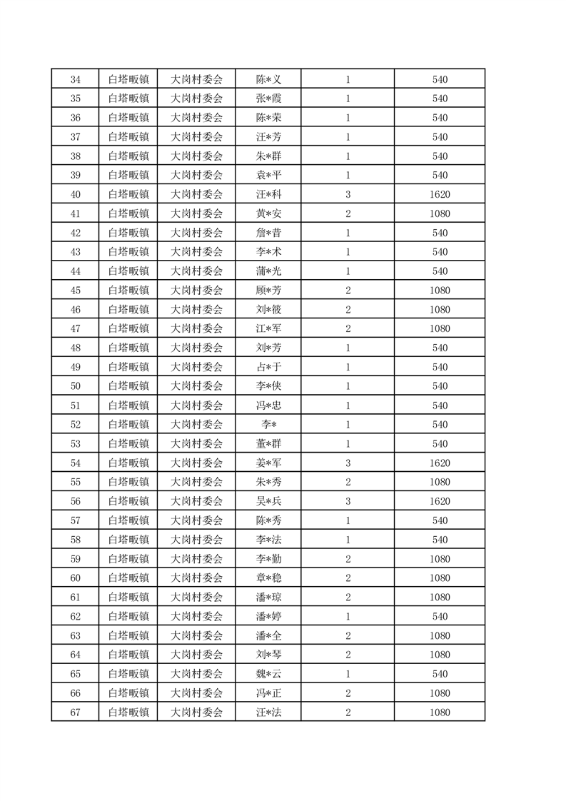
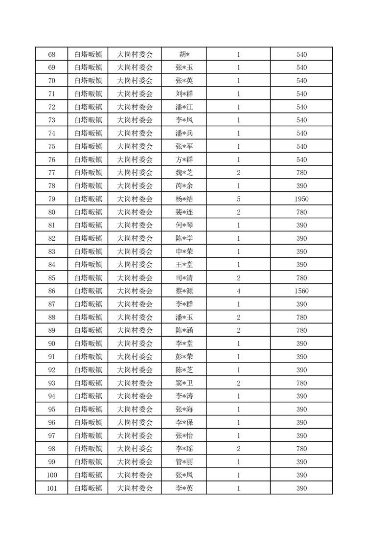
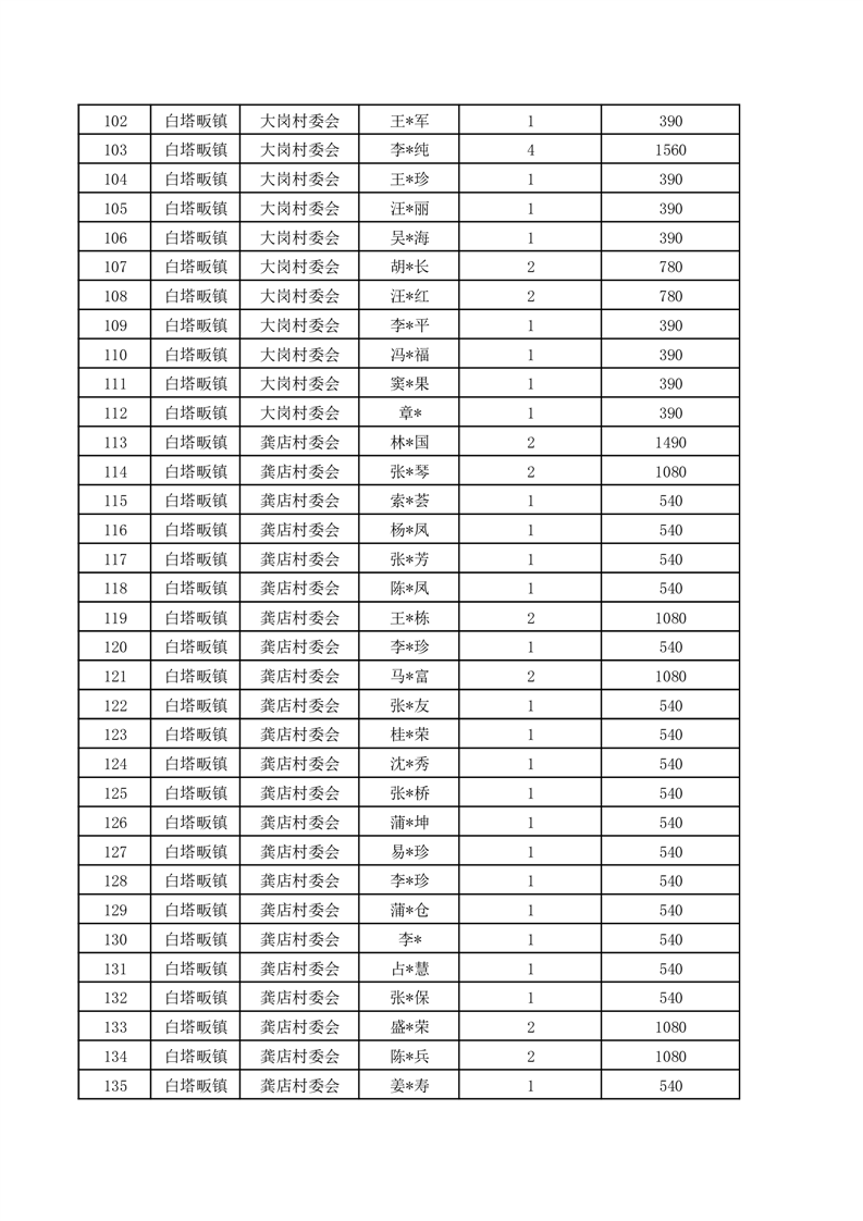
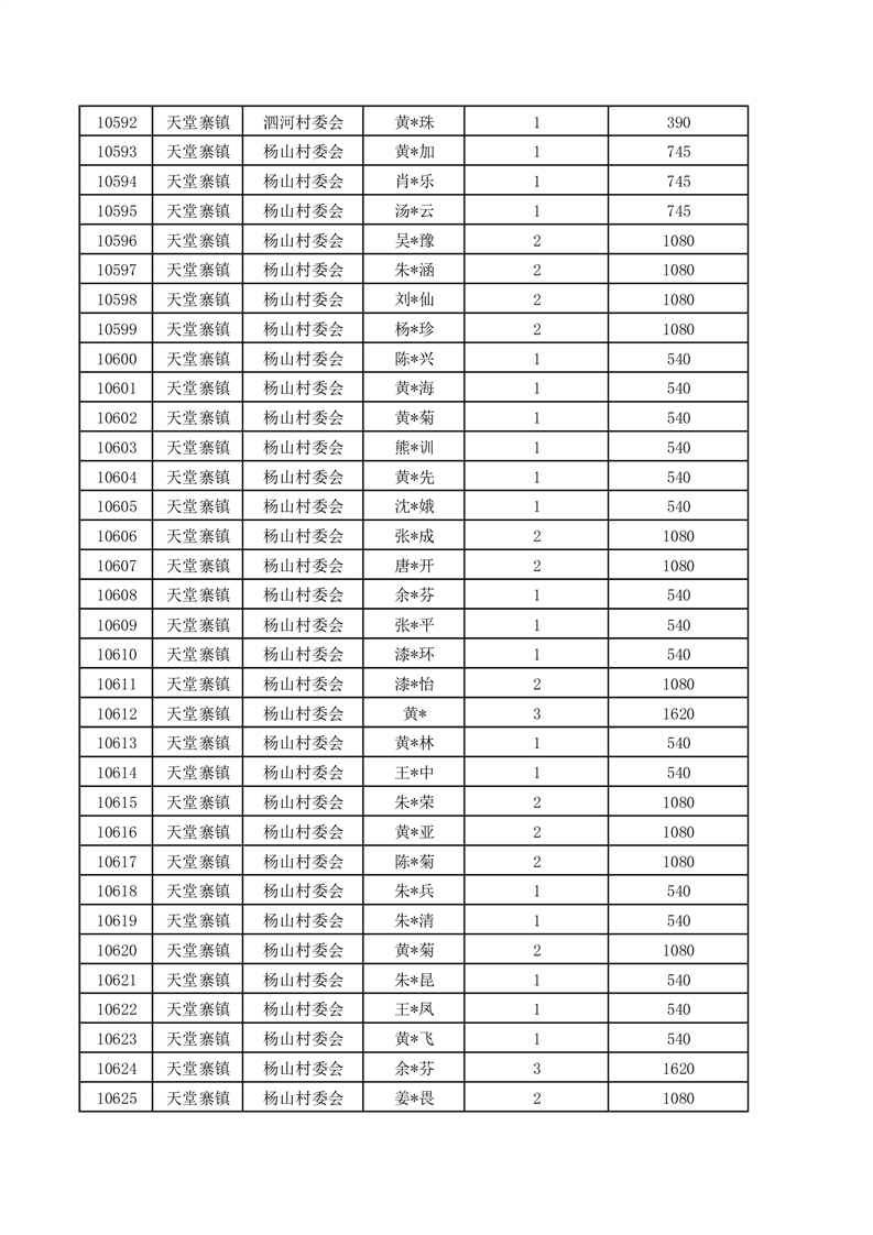
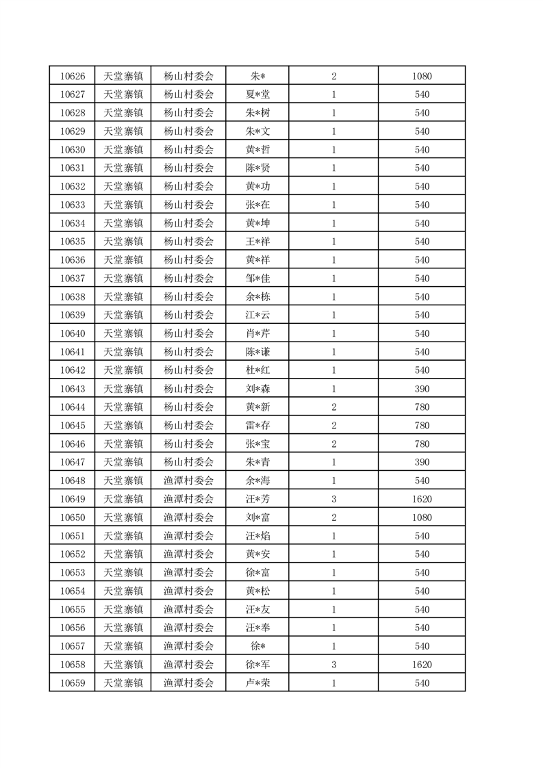
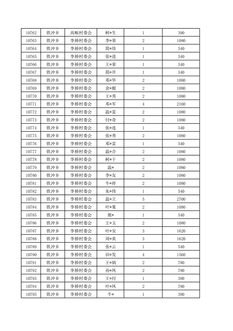
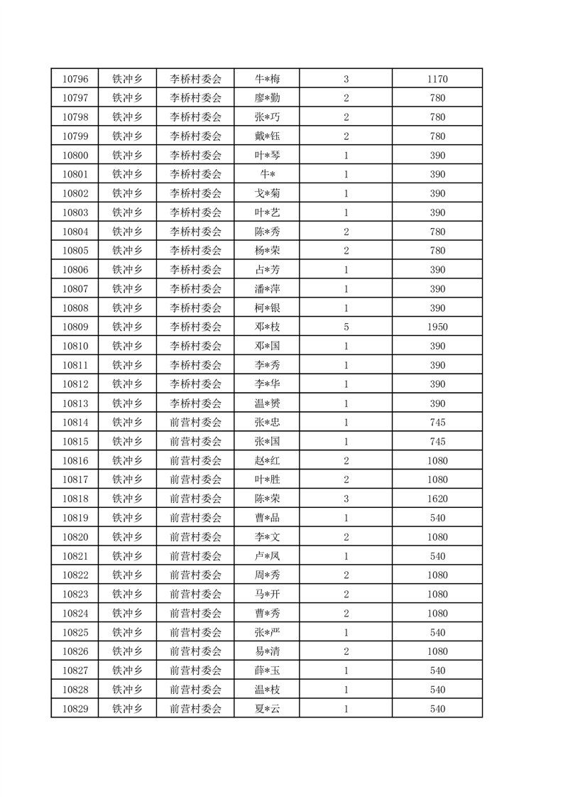
| 内容概述: | |||
| 索引号: | 113414260032405285/202512-00011 |
|---|---|
| 信息分类: | 审批信息 |
| 内容分类: | 综合政务,民政、扶贫、救灾 |
| 发文日期: | 2025-12-16 |
| 发布机构: | 金寨县 |
| 生成日期: | 2025-12-16 |
| 生效日期: | |
| 废止时间: | 暂无 |
| 文 号: | |
| 关键词: | |
| 内容概述: |







































































































































































































































































































































































































皖公网安备34152402000113号